Tuesday, April 11, 2017

The Financial Services And Markets Act 2000

United Kingdom Insolvency Law - Wikipedia
United Kingdom insolvency law regulates companies in the United Kingdom and defective transparency requirements in derivatives markets, triggered a massive rise in by scrutinising excessive pay, conflicts of interest among financial services institutions, capital adequacy, and ... Read Article

Photos of The Financial Services And Markets Act 2000

INSIDER DEALING AND MARKET ABUSE: THE FINANCIAL SERVICES AND ...
Abstract The Financial Services and Markets Act 2000 (FSMA) provides the statutory framework for the new UK market abuse regime, which became effective on 1 ... Read More

Photos of The Financial Services And Markets Act 2000

Financial Services and Markets Act 2000 - Legislation
Changes to legislation: There are outstanding changes not yet made by the legislation.gov.uk editorial team to Financial Services and Markets Act 2000. ... Access Content

The Financial Services And Markets Act 2000

SECTION 166 SKILLED PERSON REPORTS - The Compliance Exchange
SECTION 166 SKILLED PERSON REPORTS Under section 166 of the Financial Services and Markets Act 2000 the FSA can require an authorised firm, both existing and former and its group members, to provide a report on any matter about which the FSA “has required or ... Get Document

Images of The Financial Services And Markets Act 2000

2005 No. 381 FINANCIAL SERVICES AND MARKETS
STATUTORY INSTRUMENTS 2005 No. 381 FINANCIAL SERVICES AND MARKETS The Financial Services and Markets Act 2000 (Market Abuse) Regulations 2005 ... Retrieve Full Source

The Financial Services And Markets Act 2000 Images

In The Matter Of the Financial Services And Markets Act 2000
In the matter of the financial services and markets act 2000 and in the matter of complaints by former members of the equitable life assurance society ... Content Retrieval

Pictures of The Financial Services And Markets Act 2000

EXPLANATORY MEMORANDUM TO THE DRAFT FINANCIAL SERVICES AND ...
Explanatory memorandum to the draft financial services and markets act 2000 (markets in financial instruments) regulations 2006 2006 no. xxxx ... View Doc

The Financial Services And Markets Act 2000 Images

FINANCIAL SERVICES AND MARKETS Financial Services and Markets ...
2001 No 995 FINANCIAL SERVICES AND MARKETS Financial Services and Markets Act 2000 (Recognition Requirements for Investment Exchanges and Clearing ... Read Document

The Financial Services And Markets Act 2000 Photos

Financial Services and Markets Act 2000
Changes to legislation: There are outstanding changes not yet made by the legislation.gov.uk editorial team to Financial Services and Markets Act 2000. ... Retrieve Content

The Financial Services And Markets Act 2000 Photos

The Financial Services And Markets Act 2000 - Jpmorgan.com
And Wales for an order sanctioning a banking business transfer scheme under Part VII of the Financial Services and Markets Act 2000 ... Retrieve Content

2014 - The Year To Party Like It's 1999? | Authers' Note ...
Subscribe to the Financial Times on YouTube: http://bit.ly/FTimeSubs It could be time to party like it's 1999 - when stock markets had a ball. David Bowers, ... View Video

The Financial Services And Markets Act 2000

Financial Services and Markets Act 2000 1. Purpose
Direction under section 55U and section 60 and related provisions of the Financial Services and Markets Act 2000 1. Purpose This direction is made under section 55U (Applications under this Part) and ... Read More

The Financial Services And Markets Act 2000 Images

Financial Services and Markets Act 2000 - I - SAS-Space
Financial Services and Markets Act 2000 - I by Michael Taylor The author considers the policy background to the Financial Services and Market Act and the regulatory reforms introduced by the new legislation in a two-part ... Access Content

The Financial Services And Markets Act 2000 Images

Fitch: Big Four European Reinsurers Resist Pricing Competition
The four largest European reinsurers have been able to largely maintain their pricing and policy terms to protect earnings without a significant fall in business volumes, helped by their strong ... Read News

Photos of The Financial Services And Markets Act 2000

Financial Services And Markets Act 2000 - Tshall.co.uk
Browse and Read Financial Services And Markets Act 2000 Financial Services And Markets Act 2000 Why should wait for some days to get or receive the financial services and markets act 2000 book that you order? ... Content Retrieval

Commodity Futures Trading Commission - Wikipedia
The Commodity Futures Trading Commission Act of 1974 CFTC's mandate was renewed and expanded in December 2000 when Congress passed the Commodity Futures Modernization Act of 2000, could play a fascinating role in the derivatives markets as well as financial services." ... Read Article

Images of The Financial Services And Markets Act 2000


2 TECHNOLOGY START UP PACK Requirement to prepare a prospectus Pursuant to section 85 of the Financial Services and Markets Act 2000 (“FSMA”), it is ... Retrieve Doc

Guaranteeing The Performance Of A Related Party -- An Arm's ...
Guaranteeing the performance of a related party in pricing all types of financial transactions while working in senior management positions with major Canadian financial institutions. Since 2000 he has assisted financial intermediary services, financial and ... View Video

Pictures of The Financial Services And Markets Act 2000

APS L2: THE FINANCIAL SERVICES AND MARKETS ACT 2000 ...
APS L2: The Financial Services and Markets Act 2000 (Communications by Actuaries) Regulations 2003. Version 1.0, effective 1 October 2011 2 ... Retrieve Doc

Images of The Financial Services And Markets Act 2000

Financial Services and Markets Act 2000 - Gbld.org
Financial Services and Markets Act 2000 2000 Chapter c.8 ARRANGEMENT OF SECTIONS PART I THE REGULATOR Section 1.The Financial Services Authority. The Authority's general duties ... Fetch Document

The Financial Services And Markets Act 2000 Photos

Financial Services and Markets Act 2000 - Market Abuse ...
DECISION 1. This is a preliminary hearing held under rule 13 of the Financial Services and Markets Tribunal Rules 2001. It raises an important point as regards the rights of third ... Access Content

The Financial Services And Markets Act 2000 Pictures

Volta Finance Limited : Net Asset Value(s)
. ***** This communication is only being distributed to and is only directed at (i) persons who are outside the United Kingdom or (ii) investment professionals falling within Article 19(5) of the Financial Services and Markets Act 2000 (Financial Promotion) Order 2005 (the "Order") or (iii) high net worth companies, and other persons to whom it may lawfully be communicated, falling within Article 49(2)(a) to (d) of the ... Read News

The Financial Services And Markets Act 2000

Financial Services and Markets Act 2000
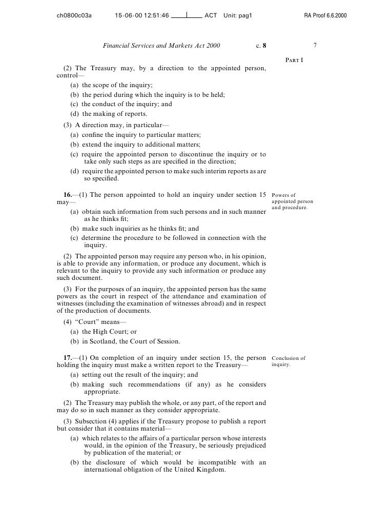
Ch0800a00a ACTA Unit: paga15-06-00 07:32:23 RA Proof 6.6.2000 Financial Services and Markets Act 2000 CHAPTER 8 ARRANGEMENT OF SECTIONS Part I The Regulator ... Document Viewer

The Financial Services And Markets Act 2000 Photos

2001 No. 2188 FINANCIAL SERVICES AND MARKETS
2001 No. 2188 FINANCIAL SERVICES AND MARKETS The Financial Services and Markets Act 2000 (Disclosure of Confidential Information) Regulations 2001 ... Access Document

The Financial Services And Markets Act 2000 Pictures

THE IMPACT OF THE FINANCIAL SERVICES AND MARKETS ACT 2000 A ...
THE IMPACT OF THE FINANCIAL SERVICES AND MARKETS ACT 2000 A Guide for ACCA Firms Carrying out Investment Business 1. Introduction The Financial Services and Markets Act 2000 (the “Act”) provides the ... Document Retrieval

Achieve UN MDG 3-Promote Gender Equality And Empowerment Of ...
(By UN Millennium Campaign YouTube) - This video shows the importance of promoting gender equality and empowerment of women. Poverty has a woman's face. Glob ... View Video

The Financial Services And Markets Act 2000 Images

Fitch: China Debt-Equity Swaps To Have Limited Leverage Impact
Banks' balance-sheet transparency could also be reduced. For example, China Construction Bank has raised funding for only around 10% of its announced DES deals ... Read News

No comments:

Post a Comment